What Are Water Treatment Valves? Types, Functions, and Applications Explained

Inleiding

Water treatment systems are one of the most important nodes in the complicated network of the modern industrial civilization, as they are the key to the management of resources and the health of the population. Within these water treatment processes, water treatment plant valves are the basic control devices, governing the fluid flow, pressure, and volume of fluid in complex systems of filtration and chemical treatment. These elements are not just passive hardware; they are the dynamic controllers of a hydraulic balance and system efficiency that has to be held against the changing demand and the changing quality of raw water.
 
The taxonomy and functional dynamics of these valves are critical to any engineer or facility manager who wishes to maximize the reliability of the system, regulatory compliance, and the long-term cost of ownership in an ever-water-stressed global economy.
water-treatment-valves (333)

Understanding Water Treatment Valves

In order to understand the role of a water treatment valve, it is necessary to initially consider it as a carefully designed interface between two fluid states of equilibrium. In the simplest sense of the word, a valve is a mechanical mechanism that blocks, diverts, or controls the water flow of fluid by opening, closing, or partially blocking different openings. But when applied to water treatment, this definition is broadened to cover the handling of multi-phase fluids, corrosive chemical reagents and different thermal profiles.
 
The operating principle of these valves is based on the contact of an internal closure component, e.g., disc, ball or gate, and a stationary seat and a stationary ring seat. The efficacy of this interface is the integrity of the valve. The main parts are typically the body (the pressure vessel), the bonnet (the cover of the internal parts), the trim (the internal parts that touch the media), and the actuator (the mechanism that moves the trim). The selection of materials used in these parts in water treatment is not random; it is a calculated reaction to the chemical characteristics of the water and the physical stresses of the system.

Critical Applications: How Valves Support Filtration, RO, and Wastewater Processes

Water treatment is not a single process but a series of interrelated steps, each with a different set of hydraulic challenges and typical applications.
 

Filtration Systems

In traditional sand or carbon filtration, the complicated backwash cycles are attributed to the use of valves. Under normal operation, the valves force water down through the filter media. But with the build-up of particulates, the pressure drop across the filter rises and a reversal of flow is required. This needs a coordinated series of valve actions, usually of butterfly or globe valves, to redirect the flow, stir the media, and remove the solids trapped. The accuracy of such movements is what defines the life of the filter bed and the purity of the effluent.
 

Reverse Osmosis (RO)

The RO process is a high-pressure environment in which valves have to deal with high osmotic differentials and high flow rates. In this case, valves are applied in the control of high-pressure pumps and rejection of brine. The valves employed in RO should be in a position to withstand pressure that usually surpasses 60 bar and withstand the corrosive characteristics of concentrated brine. The valve, in this case, is the guardian of the integrity of the membrane, which prevents the backflow and balances the fine line between the recovery of the permeate and the fouling of the membrane.
 

Behandeling van afvalwater

The wastewater processes present the problem of non-Newtonian fluid slurries and liquids that have large organic and inorganic solids. When considering specific waste water treatment applications for valves, especially the knife gate valves and plug valves ,should be designed in such a way that they cut through solids without affecting the seal. It is usually anaerobic and chemically hostile, and needs valves that can withstand hydrogen sulfide corrosion and abrasive wear through thousands of operational cycles.

Main Types of Water Treatment Valves

Valves in water treatment are usually classified according to their main purpose: isolation, regulation or protection.
 

Isolation Valves: Butterfly, Ball, and Gate/Knife Gate Valves

The binary operators of the hydraulic world are isolation valves, which are supposed to be fully open or fully closed.
  • Vlinderkleppen: These are used to regulate flow using a rotating disc. They are preferred in large-scale water delivery systems because of their small size and reduced cost-to-torque ratio.
  • Kogelkranen: These have a spherical disc with a hole, which offers good sealing properties and a clear-through flow path, which reduces pressure drop. They are the most desirable in high-pressure isolation in chemical feed lines.
  • Gate and Knife Gate Valves: These are based on the use of a sliding plate to prevent flow. Knife gates are also necessary, especially in sludge management where the sharp edge of the gate is able to slice through thick fibrous materials that would otherwise block a normal valve seat.

Regulation and Control: Globe, Control, and Solenoid Valves

Regulation valves are used when a system needs gradual changes as opposed to binary conditions.
  • Globe ventielen: The inside geometry forms a tortuous path for the fluid, which enables extremely accurate throttling and flow control, but at the expense of an increased pressure drop.
  • Regelkleppen: These frequently have advanced positioners that react to 4-20mA signals, enabling automated control of flow rate in response to real-time sensor data of the treatment process.
  • Magneetventielen: These are electromagnetic valves that are employed in on/off control in smaller diameter piping, typically in a laboratory water system or a specific dosing station of a chemical.

Protection and Specialty: Check and Plug Valves

Valves are used to ensure security in a hydraulic system by avoiding catastrophic failure.
  • Check Valves (Non-Return Valves): These water treatment check valves provide automatic backflow protection. They are used in pump stations to cushion the pump against the so-called water hammer effect, which is a sudden increase in pressure that happens when a pump is switched off, and the column of water is trying to change direction.
  • Plug Valves: These operate by means of a cylindrical or tapered plug to prevent or permit flow. They are also very useful in abrasive water services since the seating surfaces are not exposed to the flow stream when the valve is open.

Global Compliance: Navigating AWWA, NSF, and ISO Standards

Safety and interoperability in the global water management institutional framework are based on compliance. Standards are not just recommendations; they are the written expectations of the market.
  • AWWA (American Water Works Association): These standards are the standard of the municipal water systems. A valve that is AWWA C504 (butterfly valves) or C509 (resilient-seated gate valves) has been subjected to the special demands of utility service over an extended period.
  • NSF/ANSI 61: It is probably the most important standard in the health of the population. It makes sure that the materials that are used in the valve, the elastomers, the coatings, and the alloys do not leech into the drinking water with harmful contaminants (like lead or chemical byproducts).
  • ISO 9001 en ISO 14001: These certify the quality management and environmental responsibility of the manufacturer. To a procurement officer, these standards minimize the risk of asymmetric information, which gives him a guarantee that the valve was manufactured in a uniform, audited process.
water-treatment-valves (222)

Technical Selection Criteria: Balancing Flow, Pressure, and Material Science

The choice of a water treatment valve is a multi-dimensional optimization problem which involves a trade-off between hydraulic performance and the aggressive chemistry of the process media.
 

Hydraulic Dynamics and Control Stability

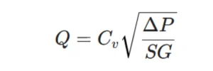
The primary technical consideration is the Pressure Drop (ΔP), expressed via the flow coefficient (Cv). The governing relationship is defined by:
water-treatment-valves (111)
Where Q is the flow rate and SG is the specific gravity of fluid. In addition to the mere throughput, engineers need to consider the Valve Authority and its flow nature (Linear vs. Equal Percentage). A good selection reduces the energy tax and prevents Cavitation, which is a local pressure that is lower than the vapor pressure, resulting in imploding bubbles that damage internal parts. In high-pressure membrane feed lines, it is important to choose a valve with a high Liquid Pressure Recovery Factor (FL) to avoid choked flow and acoustic vibration.
 

Advanced Material Science

In treatment plants, water is often a carrier for aggressive oxidants like chlorine and ozone. Corrosion is not just slow-motion burning, but an electrochemical corrosion, which may cause systemic failure.
  • Metallic Alloys: Although 316/316L Stainless Steel is used in general applications, Duplex and Super Duplex Stainless Steels are required in high-salinity Reverse Osmosis (RO) applications because of their high PREN (Pitting Resistance Equivalent Number), which is resistant to chloride-induced stress corrosion.
  • Elastomeric Integrity: The choice of material to use in resilient seats is determined by chemical compatibility. EPDM is highly hydrolytically stable in general water service, and Viton (FKM) is needed in high-concentration ozone or acidic dosing streams to avoid swelling and loss of elasticity. Moreover, it is necessary to control the Surface Roughness (Ra) of internals to reduce biofilm formation.
Material Category
Common Grades
Technical Metric
Recommended Applications
Austenitic Steel
316 / 316L
PREN ≈ 24
Potable water, municipal systems, mild corrosion.
Duplex Steel
2205 (S32205)
PREN ≈ 35
Brackish water, wastewater, membrane filtration.
Super Duplex Steel
2507 (S32750)
PREN ≈ 40
Seawater RO, brine, aggressive desalination.
Resilient Elastomers
EPDM
High Hydrolytic Stability
General water service, weak acids, aging resistance.
Fluoroelastomers
Viton (FKM)
High Oxidation Resistance
Chemical dosing (Ozone), concentrated acids, high-temp.

Total Cost of Ownership (TCO)

Technical selection is strategic to maximize Total Cost of Ownership (TCO) through the balance between initial CAPEX and long-term OPEX. In addition to the purchase price, high-performance valves reduce taxes on energy losses and increase maintenance life. The compounding cost of unplanned downtime and premature replacement is reduced by maximizing the Mean Time Between Failure (MTBF) to guarantee high life-cycle value and ROI sustainability.

The Efficiency and Precision Gap: Addressing the Limitations of Traditional Operation

The traditional use of manual operation of valves poses a performance ceiling in contemporary water treatment. Although manual valves are effective in the case of static isolation, they do not cope with the dynamic needs of high-flux membrane systems and complicated filtration cycles.
 

Transition Dynamics and System Integrity

Response Latency is the most serious constraint. A large-diameter manual valve can take several minutes to close, with 50 to 100 turns of a handwheel, in case of a burst or surge of pressure in a pipe. This is done in seconds by an automated actuator. Moreover, automation enables Soft-Closure Profiles, in which the PLC adjusts the closing speed to reduce Water Hammer (Hydraulic Shock), a phenomenon that can tear pipes and damage delicate RO membranes, which cannot be reliably controlled by manual operation.
 

Sequential Precision in Filtration

Manual valves are “dark” assets; they provide no feedback to the control room. Automated valves, equipped with smart positioners, transform the valve into a data point. Real-time feedback on valve position, torque profiles, and cycle counts enables Predictive Maintenance and allows the SCADA system to optimize plant-wide hydraulic balance, reducing the overall energy footprint of the facility.
 

Data Transparency and SCADA Integration

Manual valves are dark assets; they do not give any feedback to the control room. The valve is turned into a data point with automated valves that have smart positioners. Live feedback of valve position, torque profiles, and cycle counts can be used to implement Predictive Maintenance and to enable the SCADA system to optimize the hydraulic balance of the entire plant, minimizing the total energy footprint of the facility.
water-treatment-valves (444)

Future-Proofing with Automation: The Strategic Value of Automated Valves

To bridge the efficiency gap, the industry is adopting automated valve systems as the “central nervous system” of modern water treatment plants, allowing for instantaneous, data-driven adjustments. Vincer, a leader in intelligent fluid control, provides high-performance solutions engineered for the rigors of desalination and wastewater management, shifting operations from reactive response to proactive precision.
  • Vincer Electric Actuated Valves: These units deliver unrivaled precision in regulating flow, pressure, and temperature. Designed for demanding industrial environments, they integrate seamlessly with SCADA, PLC, and DCS systems, empowering operators with total remote control and real-time transparency.
  • Vincer Pneumatic Actuated Valves: Engineered for speed, these valves offer a rapid response time of less than one second. They are the gold standard for high-cycle applications where safety, leak prevention, and high-throughput are paramount.
The strategic value of automation lies in the drastic reduction of Operating Expenditures (OPEX). While the initial investment exceeds manual alternatives, the optimization of chemical usage, energy consumption, and labor hours ensures a rapid ROI. By eliminating “information asymmetry,” Vincer provides a continuous data stream of cycle counts and health status, ensuring your facility maintains peak performance.

Proactive Maintenance: Best Practices for Long-Lasting Infrastructure

Maintenance in water treatment should be viewed as an “insurance policy” against catastrophic system failure. A reactive approach—waiting for a valve to leak before fixing it—is a recipe for expensive emergency shutdowns.
  • Stochastic Failure Prevention: Rather than assuming valves will last their rated life, implement a schedule of regular “cycling.” Valves that remain in one position for years can “seize” due to mineral buildup. Regular operation ensures the trim remains free and functional.
  • Elastomer Replacement: Seals and gaskets have a finite shelf life. Proactive replacement of these components every 3-5 years prevents the slow degradation of sealing integrity.
  • Predictive Diagnostics: Modern automated valves can monitor the torque required to move the disc. An upward trend in torque is a “leading indicator” of friction or debris buildup, allowing maintenance to be scheduled before the valve fails.
  • Lubrication and Milieu Protection: Ensuring that external moving parts and actuator housings are protected from the humid, often corrosive atmosphere of a treatment plant will prevent external rust from compromising internal performance.

Conclusie

The selection, operation, and maintenance of water treatment valves represent a critical intersection of mechanical engineering, chemistry, and economic strategy. As we have explored, these components are far more than simple gates; they are the precision instruments that ensure the hydraulic equilibrium of our most vital systems. From the rigorous requirements of AWWA and NSF standards to the transformative potential of automated actuation, the choices made in valve procurement have profound implications for the safety and efficiency of water infrastructure.
 
In an era where precision is paramount, moving toward automated solutions is no longer a luxury but a strategic necessity. By addressing the efficiency gap through high-performance electric and pneumatic systems, water treatment facilities can achieve a level of control that was previously impossible. Ultimately, a well-chosen valve, maintained with a proactive philosophy, serves as the silent guardian of the water cycle, ensuring that this most precious resource is managed with the respect and technical rigor it deserves.
Scroll naar boven

Neem contact op met ons ondersteuningsteam

Breed contactformulier 2